Polymeric Builders for Detergent
Detergent & Cleaning
Polymers are used in detergent and cleaners application since past 4 decades. Polymers provides various key benefits in cleaning process like :
- Anti soil redeposition
- Anti encrustation (Fabric whiteness maintenance)
- Replacement for sodium tripolyphosphate (STPP)
- Stain and soil removal
- Dispersion and removal of insoluble fillers
At RSD Polymers, we work continuously to develop better & innovative polymeric solutions for detergents. Our newly developed range of polymers are designed considering new trends & requirements in detergent manufacturing helps to achieve excellent washing & cleaning performance at reasonable cost.
A dedicated application department provides extensive technical support regarding improvisation of formulations and evaluation of washing performance to our valued customers.
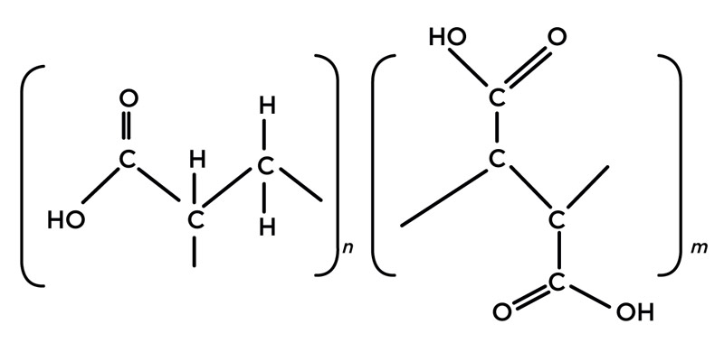
Synonyms : Polyacrylic Acid Sodium Salt (PAAS) 50%, Polyacrylate sodium, Sodium polyacrylate, aqueous dispersants, Carboxylate polymer, Copolymer of Maleic and Acrylic Acid (MA/AA), Acrylic acid maleic anhydride copolymer, dispersants, maleic multipolymer

Description
These copolymers are having around 50000 to 70000 mol. Wt. shows distinct performance enhancement in washing and cleaning formulations. They improve cleaning through their strong dispersing and soil anti redeposition property. Being synthesized with selected polymerization additives are very much compatible with other detergent w\raw material particular in liquid. They serves as a important builder in new age detergent and cleaning formulations and also provides eco friendly replacement to STPP.
Application
AA/MA copolymers are can be used as detergent additives, detergency improver and alternate to phosphate like STPP in all grades of domestic and industrial fabric care powder detergent, suitable for fabric care formulations in liquid, pods and tablets, detergent cake etc. Apart from fabric cleaners also can be used in surface cleaning formulations.
Specification
| Parameter | Index | |
|---|---|---|
| Appearance | Pale yellow to light brown, clear liquid | Coloreless to pale yellow, clear liquid |
| Total Solid (%) | 39 – 41 | 39 – 41 |
| Avg. Mol. Wt. (Aprx.) | 50000 | 70000 |
| Sp. Gravity | 1.22 – 1.32 | 1.25 – 1.35 |
| pH | 7 to 9 | 7 to 9 |
(These are typical values and not specifications)
Packing
Tanker Load, 1250 kg IBC & 250 kg barrel

Description
These are the low molecular weight polyacrylates designed to be used for domestic and industrial cleaning formulations. These polymers offer various benefits in fabric care.
Advantages
- Prevents encrustation / crystal growth inhibition of builders on fabric
- Increase detergency & Improves whiteness of fabric
- Excellent cleaning without phosphate
- Sequesters Calcium and Magnesium
- Helps prevent redeposition of soils
- Cost effective replacement of STPP
- Works as hydrotope in liquid formulations and processing aid in spray drying for spray dried powders.
Application
These polymers can be used as detergent additives, detergency improver and alternate to phosphate like STPP in all grades of domestic and industrial fabric care powder detergent, suitable for fabric care formulations in liquid, pods and tablets, detergent cake etc. Apart from fabric cleaners also can be used in surface cleaning formulations.
Specification
| Parameter | Specifications | |
|---|---|---|
| Appearance | Colorless to pale yellow, clear liquid | Colorless to pale yellow, clear liquid |
| Total Solid (%) | 47 – 49 | 44 – 46 |
| Avg. Mol. Wt. (Aprx.) | 4500 | 4500 |
| Sp. Gravity | 1.2 – 1.3 | 1.3 – 1.4 |
| pH | 3 to 4 | 6 to 8 |
(These are typical values and not specifications)
Packing
Tanker Load, 1250 kg IBC & 250 kg barrel.